Frequency Response Function (FRF)频率响应函数及应用
引线键合机是封装设备中一个典型的高动态的应用。为了保证良好的线弧,和工艺结果的一致性,需要在设计高动态的机械结构的基础上,设计高性能的控制器。为了更好的设计控制器,通常控制工程师会用先测试系统频率响应函数的方法,得到系统特性,然后再设计响应的控制器。以保证动态特性和稳定裕度。
1. 什么是FRF?
我们通常所说的频响函数(Frequency Response Function,FRF),它是结构的输出响应和输入激励力之比。我们同时测量激励力和由该激励力引起的结构响应(这个响应可能是位移、速度或加速度),将测量的时域数据通过快速傅立叶变换(FFT)从时域变换到频域,经过变换,频响函数最终呈现为复数形式,包括实部与虚部,或者是幅值与相位。
2. 如何得到FRF?
在引线键合机中,高速运动的机械模块通常需要测量FRF来进行模态分析。对于机械结构的实验模态分析,通常输入是力,输出是加速度,速度或位移。如下图所示。对于一个结构件,可以用力锤的方法,作为激励输入,用加速度传感器或者激光干涉仪测量结构的响应
。
在频率响应函数测量中,可以观察到以下数据:
-
共振:峰值表示被测结构的固有频率;
-
阻尼:阻尼与峰的宽度成比例。峰值越宽,阻尼越大;
-
模式振型:获取到结构上的公共参考的多个FRF的幅度和相位用于确定模式振型。
在实际应用中,我们也可以用伺服控制器的开环转矩模式作为激励输入,用其他的测量设备的测量值作为响应。
至于FRF分析工具,通常使用比较成熟的数学工具Matlab进行离线分析。而庄闲和游戏光电则使用了自行开发的Fast Fourier Transform (FFT, 快速傅里叶变换)工具以取得在线测试的数据。该工具具有精度高,用户可定义信号预处理方式,并且可以处理多路信号同时计算FRF的特点。
3. 应用FRF指导机械设计
对于控制工程师,会特别关注共振峰(特别是第一个共振峰),因为直接影响了系统的动态设计和最终的闭环控制器性能。通常第一个共振峰的频率值越高,机械的开环响应带宽越高,闭环响应越快。
下面以一个典型二阶系统为例,来分析如何应用FRF结果,分析指导机械设计。系统如下所示。

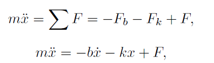
使用牛顿定律进行受力分析,可以得到:

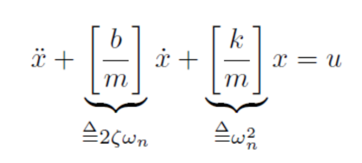
最终我们可以得到:


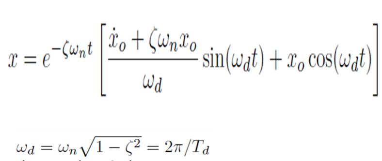
解以上常微分方程,可以得到以下齐次解:

在此处,如果用测量设备去测量上图质量块的运动,就会发现共振峰就是wd。 而wd由自然频率(wn)和阻尼系数决定。进一步从上面公式观察,会发现系统刚度(k)和结构质量(m)直接决定wn。如下图。

此处公式回归到机械工程师的认识:提高动态响应,必须采用更高刚度的材料,或者改善设计加强结构,来提高k; 或者优化设计,减轻质量,来减小k。
当然,上面示例为阐述FRF的意义,用了一个非常简化的模型。实际的引线键合机的机械运动系统,FRF远比上面示例复杂。需要机械工程师进行大量的测试,仿真,反复修改设计,包括控制器的设计迭代,才能达到满意的动态要求。
庄闲和游戏光电有一只优秀的研发队伍,专心耕耘高精度高动态的机械设计和控制器设计多年,具有丰富的设计经验,坚持设计-仿真-原型-FRF-再设计的闭环设计理念,配合自行开发的多输入/多输出FRF测量系统,在模态分析,信号处理,控制器设计等环节精益求精,立志于用最纯粹的工程精神,做最好的国内半导体引线键合机。
0755-86018218










